世界十大博彩公司▎欧冠直播~推荐

当前位置:主页 > 毕业论文 > 工商管理 > 企业研究 > >

基于生态位的物流配送中心选址模型构建

来源::未知 | 作者:世界十大博彩公司▎欧冠直播~推荐 | 本文已影响

内容摘要:本文根据一般物流配送中心缺少适应性这一实际情况,把生态学中的生态位理论引入选址模型中,并构建了物流配送中心生态位适宜度模型和物流费用最小的物流配送中心选址模型,并利用模型选出既具有一定适应性且物流费用最小的物流配送中心。

  关键词:物流配送中心 生态位 生态位适宜度 选址模型
  
  本文主要是站在生态学的角度来考虑物流配送中心的选址问题,利用生态学中的生态位理论来构建物流配送中心选址模型。站在企业的立场首先考虑的是经济效益问题,所以本文把物流配送中心的选址归结为最小成本问题,即运输成本、变动成本和固定成本之和为最小的最优化问题,它包括单一物流配送中心选址和多个配送中心选址。在本文讨论的是多个物流配送中心选址,它是指在一些已知的被选点中选出一定数目的地点设置为物流配送中心,使形成的物流网络的总费用最少,其中的总费用包括基本投资费用、可变费用以及不可变费用。同时,作为物流配送中心其选址固然重要,但又十分困难,其原因主要有:选址因素相互矛盾,选址涉及到很多因素,而这些因素常常相互矛盾的;不同因素的相对重要性很难确定和度量;判断的标准会随时间变化而变化,现在认为是好的选址,过几年就不一定是好的了。
  因此,物流配送中心要具有一定的适应性,本文用生态位理论中的生态位适宜度来衡量。在本文中,通过二次筛选选出既具有适应性且物流费用最小的配送中心。把生态位适宜度指数作为第一轮筛选指标是基于适应性对物流配送中心更具有长远影响这一考虑,把不符合条件的备选点排除掉,然后再在此基础上选出费用最小的配送中心。
  
  生态位理论
  
  生态位的概念。生态位(Niche)是一个既抽指象而含义又十分广泛的生态学概念,主要是自然生态系统中种群在时间、空间上的位置及其与相关种群之间的关系。生态位本质上是指物种在特定尺度下、在特定生态环境中的职能地位,包括物种对环境的要求和影响两个方而及其规律。生态位是物种的属性特征表现,它定量地反映物种与生态环境的相互作用关系。生态位描述的主体对象是理论抽象意义上的物种和实践具体意义上的种群,种群是进行生态位研究的工作对象。
  生态位适宜度。生态位适宜度是指发展对资源的需求与区域现状资源供给之间的匹配关系,反映了资源现状对发展的适宜性程度。设当区域现状条件完全满足发展的需求时,生态位适宜度为1,当资源条件不满足发展的最低资源要求时,生态位适宜度为0。生态位适宜度指数的大小反映了区域现状资源条件对发展需求的适宜性程度,可以根据生态位适宜值的大小确定初步的区域发展方案和措施。
  
  基于生态位适宜度的物流配送中心选址模型
  
   (一)模型的假设
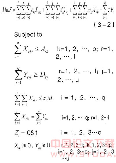
  本文中建立的选址模型是在给定某一地区所有被选点的地址集合中选出一定数目的地址作为配送中心,先从中选出具有一定生态位适宜度的配送中心,然后再基于选出的配送中心建立配送中心与各需求点和供货点形成的配送体系总费用最小数学模型。为了便于模型求解,同时使模型具有使用价值,作如下的假设:
  把以物流配送中心为核心的供应链作为一个“物流种群”,配送中心、供货点、用户共同构成一个“物流生态系统”;仅在一定的备选范围内考虑设置新的物流配送中心;包括从供货点到配送中心之间的运输以及从配送中心到用户之间的运输;一个配送中心可由多个供货点供货,一个用户的需求也可由多个配送中心提供;配送中心的容量能够满足用户的需求;各用户的需求量一定且为已知;供货点与各配送中心、配送中心与各用户间的单位运费为已知;各配送中心的单位管理费用为已知常量;配送中心的固定投资费用已知;运输费用与运输量成正比。
  (二)物流配送中心生态位适宜度模型
  根据生态位理论中的生态位适宜模型,以及物流配送中心的特点来建立物流配送中心生态位适宜度模型。物流配送中心生态位适宜度模型表达式为:
  

 
  2.模型构造。模型的目标函数是从具有一定生态位适宜度的备选地点中选出一定数量的点作为最佳配送中心,不仅使从供货点到配送中心的运输费用、配送中心到用户的运输费用、流经配送中心的产品管理费用以及配送中心的固定投资费用的总和最少,而且要具有很强的适应性。因此,目标函数要使物流费用最小,所以可用公式表达如下:
  
  结论
  本文综合运用生态位适宜度指数以及物流费用最小原则来构建物流配送中心选址模型。此模型与其他物流配送中心选址模型最大的区别在于把生态学中的生态位理论引入选址影响因素中,通过二次筛选选出既具有适应性且物流费用最小的配送中心。此外,在实际中,物流配送中心处理的货物是多种多样的,而不同类型货物的处理成本往往是不一样的,如冷藏鲜品的运输成本和库存成本比普通的货物要高出许多。同时,各种货物的运价也不是一成不变的,而应是路程、运量的分段函数。为建模方便,本文中只考虑为两种货物提供运输的物流配送中心选址问题,并且令其运输费用与运输量成正比。
  综上所述,本文所构建的基于生态学的物流配送中心选址模型是既具有长远影响又具有一定实际意义的优化模型。
  
  参考文献:
  1.王月玲.物流配送中心选址策略研究[D].大连:大连海事大学,2005
  2.汝宜红,田源,徐杰.配送中心规划[M].北京:北方交通大学出版社,2002


世界十大博彩公司▎欧冠直播~推荐

更多关于“企业研究”的文章

热榜阅读TOP

本周TOP10

我国汽车产业有效竞争模式

我国汽车产业有效竞争模式

摘要:我国汽车工业目前处于分散经营的过度竞争状态,本文认为政府利益刚性是导致我国汽车产业进入壁垒失...